Skip to content
Emmanuel Reformed Church of the United Church of Christ
Welcome to Hill's Church Export, PA
Google Maps
contact us
online cemetery records
calendar & Newsletter
give
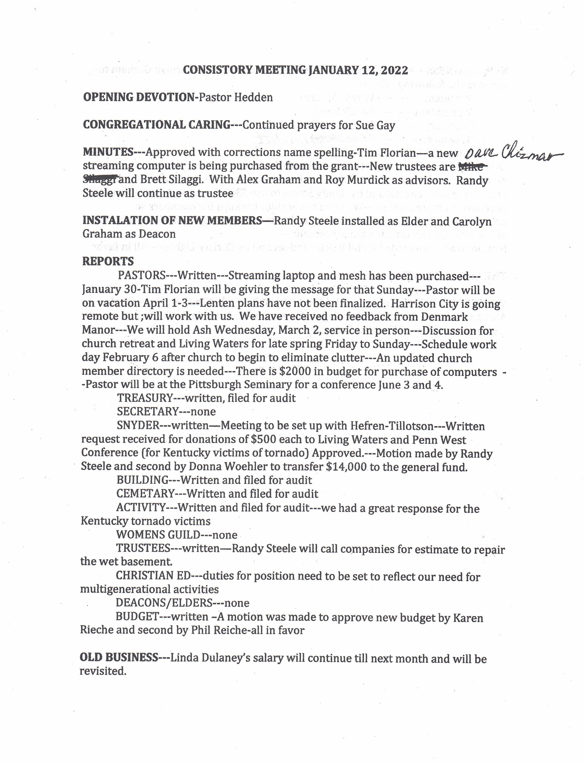
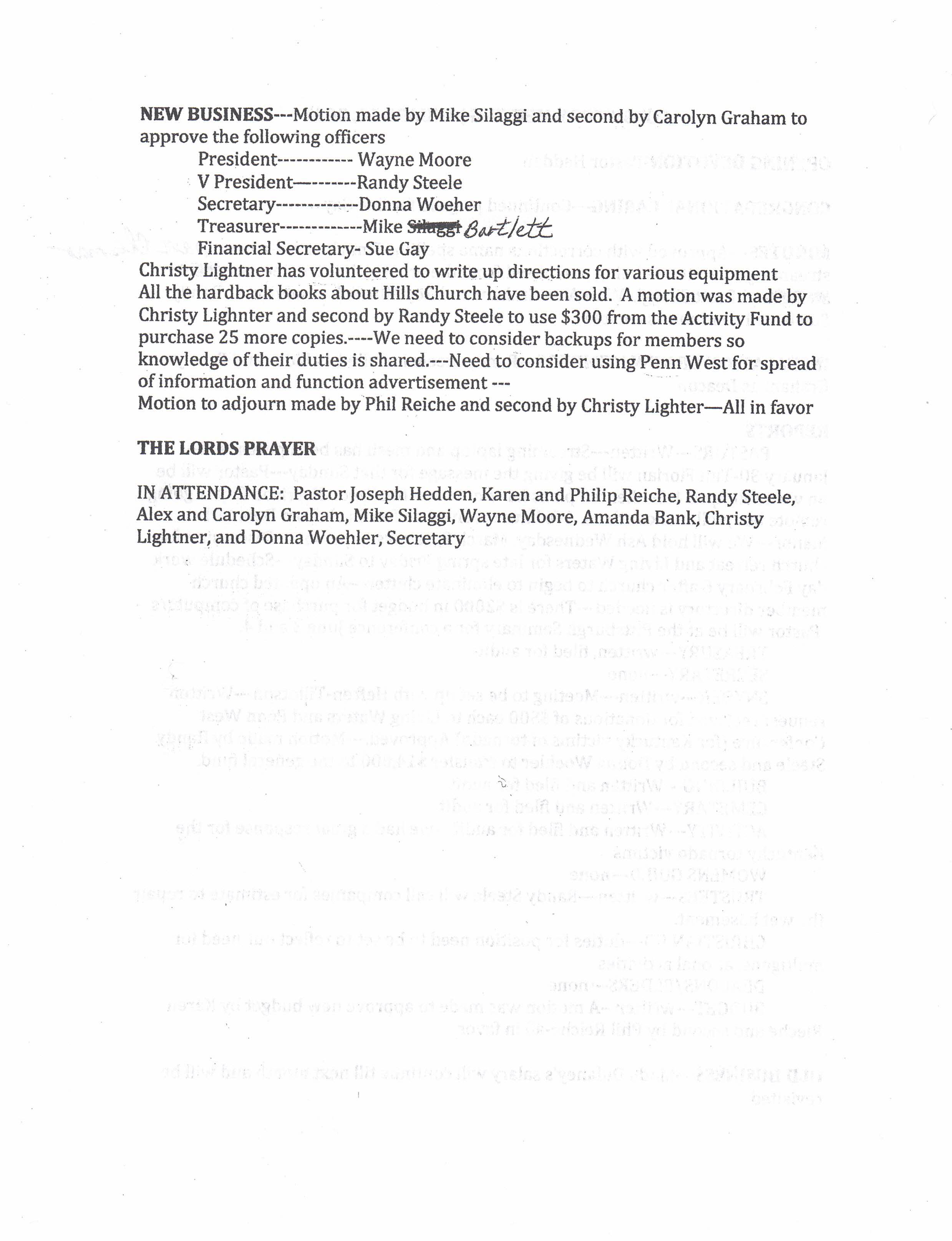
Hilltopper March 2022 Newsletter
Share this:
Share on Facebook (Opens in new window)
Facebook
Email a link to a friend (Opens in new window)
Email
Share on X (Opens in new window)
X
Print (Opens in new window)
Print
Like
Loading…
pastorjosephhedden
February 28, 2022
Calendar HCE
featured
,
Jesus
Loading Comments...
Write a Comment...
Email (Required)
Name (Required)
Website
Reblog
Subscribe
Subscribed
Emmanuel Reformed Church of the United Church of Christ
Join 131 other subscribers
Sign me up
Already have a WordPress.com account?
Log in now.
Emmanuel Reformed Church of the United Church of Christ
Subscribe
Subscribed
Sign up
Log in
Copy shortlink
Report this content
View post in Reader
Manage subscriptions
Collapse this bar
%d